BAYESIAN LEARNING
Machine learning : Tom Mitchell Àú, McGRAW-HILL, 1997, Page 154~199
3. BAYES THEOREM AND CONCEPT LEARNING
(1) Brute-Force Bayes Concept Learning
(2) MAP Hypotheses and Consistent Learners
4. MAXIMUM LIKELIHOOD AND LEAST-SQUARED ERROR HYPOTHESES
5. MAXIMUM LIKELIHOOD HYPOTHESES FOR PREDICTING PROBABILITIES
(1) Gradient Search to Maximize Likelihood in a Neural Net
6. MINIMUM DESCRIPTION LENGTH PRINCIPLE
(1.1) ESTIMATING PROBABILITIES
10. AN EXAMPLE : LEARNING TO CLASSIFY TEXT
(4) Learning Bayesian Belief Networks
(5) Gradient Ascent Training of Bayesian Networks
(6) Learning the Structure of Bayesian Networks
(1) Estimating Means of
Gaussians
(2) General Statement of EM Algorithm
(3) Derivation of the
Means Algorithm
13. SUMMARY AND FURTHER READING
p154
p155
p156



Bayes theorem :
(1)
p157


(2)


(3)

p158




p159
Ç¥ 1
|
|
(i.e.,
)

BRUTE-FORCE MAP LEARNING algorithm
1.


2. ![]()
p160

1.

2.

3.

for all
in 




p161


if
is inconsistent with 






(5)
p162


data.gif)
±×¸² 1
p163




p164

±×¸² 2
p165


Probability density function:



![]()

![]()
p166




![]()
![]()

(6)
p167
p168





(7)

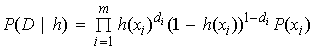
p169

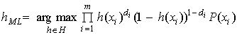
(8)

(9)

(10)


(11)


(12)
p170
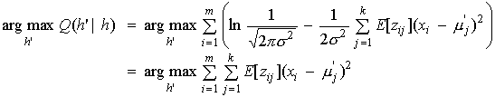
(13)


(14)

th
th
p171



(15)

(16)

p172

![]()
![]()
(16)



p173

![]()



(17)


p174
p175



(18)




p176


1.

2.


p177


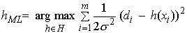
(19)
(20)

p178


(21)


p.179





(22)

p180
-estimate


p181

th


p182


p183


1.
2.








![]()
p184
p185






(23)
(24)

p186

±×¸² 3



p187

p188


(25)
p189






p190

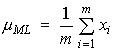
(26)


p191
Gaussians
p192

±×¸² 4

(27)
(28)
th

p193

Step 1 :

Step 2 :

th




p194



p195
Step 1 :

Step 2 :
![]()
Means Algorithm




p196






(29)
(30)
(31)

p197
p198
1. ¡þcancer
2.

3. (a)
(b)
(c)

5.

(c)